Valerio SCARANI
PhD, Ecole Polytechnique Federale de Lausanne, Switzerland (2000)
Professor
Email: physv@nus.edu.sg
Office: S15-03-14B
Tel: +65 6516 2813
Current Research
We do theoretical research in the field of quantum physics and information. Our current areas of interest are:
- Developing and applying criteria for certification of quantum devices.
- Advancing our understanding of the interplay between information and thermodynamics.
We are also working on foundational topics arising from two decades of expertise in Bell nonlocality.

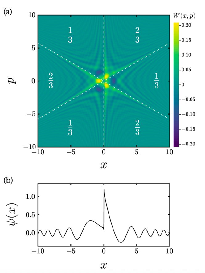
A non-classical state of the harmonic oscillator, detectable with a dynamics-based criterion [Ref 4].
Selected Publications
- P. Jayachandran, L.T. Zaw, V. Scarani, “Dynamics-based entanglement witnesses for non-Gaussian states of harmonic oscillators”, Phys. Rev. Lett. 130, 160201 (2023).
- P. Sidajaya, W. Cong, V. Scarani, “Possibility of detecting gravity of an object frozen in a spatial superposition by the Zeno effect”, Phys. Rev. A 106, 042217 (2022).
- W. Zhang, T. van Lent, K. Rederer, R. Garthoff, R. Schwonnek, F. Fertig, S. Eppelt, V. Scarani, C.C.W. Lim, H. Weinfurter, “Experimental device-independent quantum key distribution between distant users”, Nature 609, 687 (2022).
- L.T. Zaw, C.C. Aw, Z. Lasmar, V. Scarani, “Detecting quantumness in uniform precessions” Phys. Rev. A 106, 032222 (2022).
- F. Buscemi, V. Scarani, “Fluctuation theorems from Bayesian retrodiction” Phys. Rev. E 103, 052111 (2021).
Affiliations & Links
- Deputy Director, Centre for Quantum Technologies
- Valerio Scarani Group, CQT